硼元素的梯度掺杂改进NCA性能
中国科学院成都有机化学研究所日前制备出一种硼元素的梯度掺杂的NCA三元材料,此种材料的多项性能都有着明显的提升。
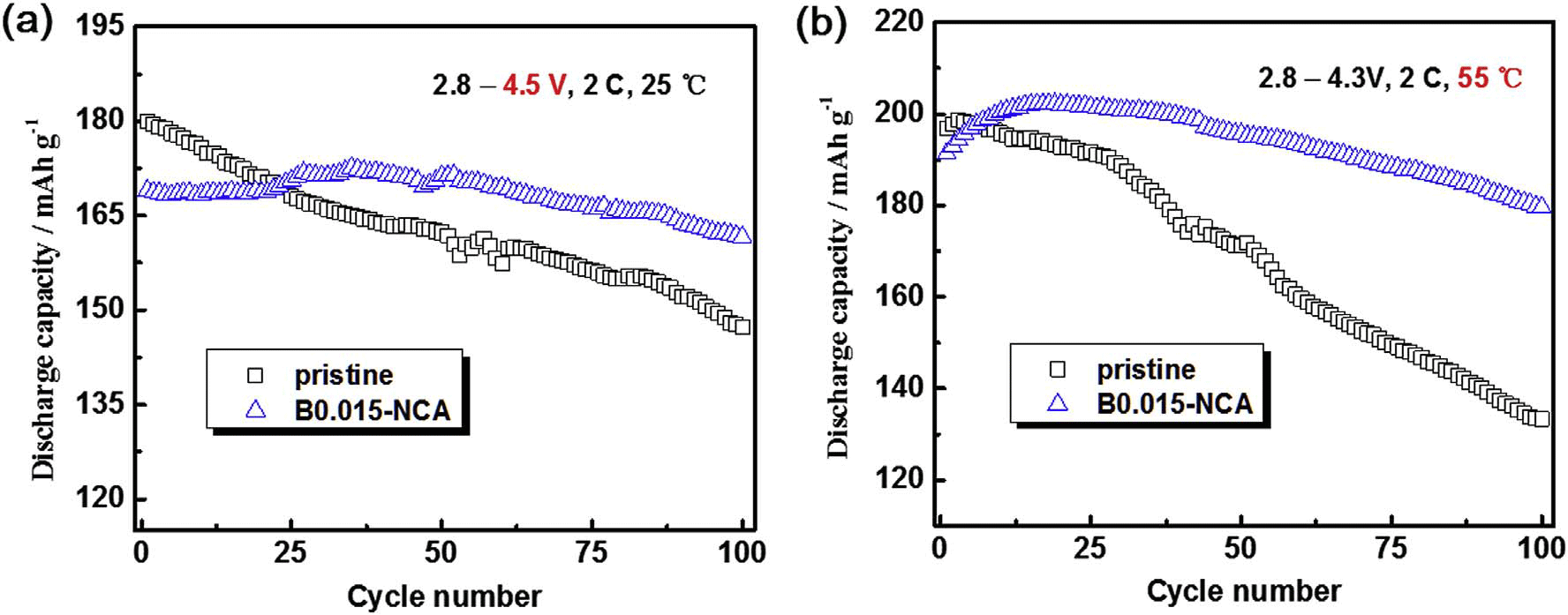
高镍三元材料一般指的是Ni含量在0.8以上的NMC和NCA材料,三元材料的容量主要取决于Ni元素的含量,Ni含量越高容量也就越高,Ni元素在为材料带来更高的容量的同时,也会导致材料的热稳定性下降,特别是在高电势下,Ni4+具有很强的氧化性,导致电解液在材料的表面发生分解,引起容量衰降和内阻升高。



梯度掺杂技术使得NCA颗粒表面的硼元素明显要高于颗粒内部,颗粒表面富集的硼元素很好的改善了NCA颗粒的表面稳定性,降低了循环过程中NCA颗粒表面的SEI膜的厚度,减少了循环导致的颗粒表面裂纹,提升了高镍NCA材料的循环性能,主要的原理为:1、表面Ni价态更低,从而降低表面与电解液反应的活性;2、B-O键强度更大,导致不容易产生裂缝,结构更加稳定
参考文献:https://doi.org/10.1016/j.jpowsour.2017.11.020
(孔祥邦)