共嵌段单离子导体研究进展
共嵌段聚合物单离子导体是将作为锂盐的聚合物嵌段与作为导锂链段的聚合物嵌段的拼接共聚而成的单离子导体,通过不同结构功能、不同质量分数的嵌段的拼接,可以调控并改善整个单离子导体聚合物总体性能。
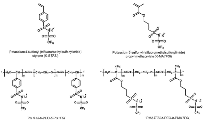
今年3月,法国格勒诺布尔大学Renaud Bouchet课题组在EA上报道了一种新的PMASFSI-PEO-PMATFSI(见图) BAB型共嵌段单离子导体,并与之前报道的PSTFSI-PEO-PSTFSI(见图)BAB型共嵌段单离子导体进行比较。研究了这两个系列共嵌段单离子导体的结晶情况、微观结构、离子电导率与锂盐浓度,温度等的关系。提出了两种聚合物的离子电导率都与玻璃化转变温度密切相关;提高作为锂盐的聚合物链段与导锂链段(这里是PEO)的相容性是提高共嵌段单离子导体电导率的重要方向。

文章链接:https://doi.org/10.1016/j.electacta.2018.02.142
(李航)