一种提高层状富镍Li[Ni1-2xCoxMnx]O2正极材料能量密度的方法(x = 0.05,0.1,0.2)
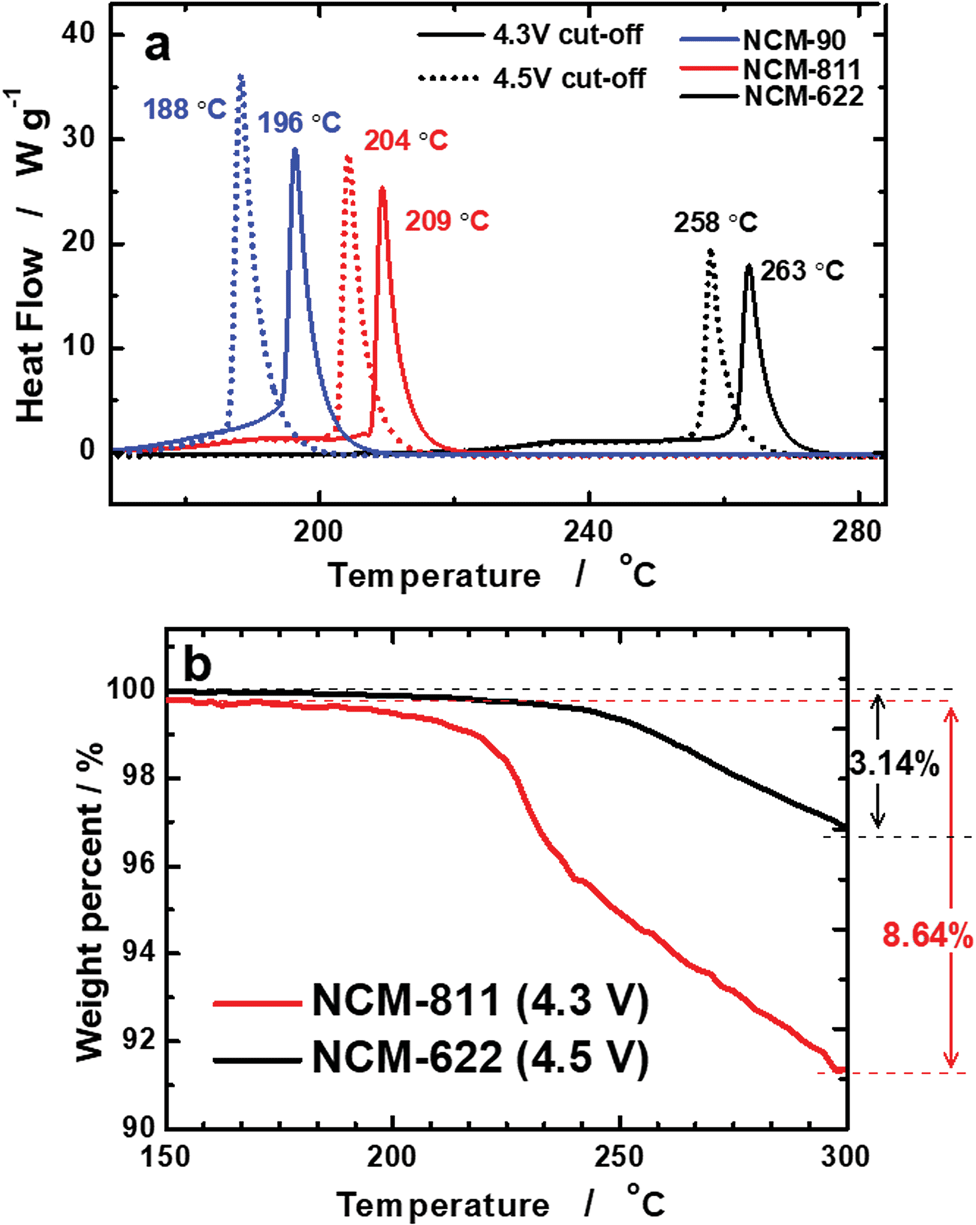
具有高能量密度,长循环寿命和适当安全性的锂离子电池是发展纯电动汽车的关键。目前,层状富镍Li[Ni1-2xCoxMnx]O2(NCM, x<0 .2)正极材料具有较高的能量密度。但是,这种正极材料较差的热稳定性阻碍了它们的商业化。韩国的汉阳大学的Yang-Kook Sun教授课题组证明了可以通过提高三元正极材料的充电截止电位(> 4.3V)而不是提高三元材料中的镍含量,可以在提高材料的能量密度的同时保持足够的热稳定性。结果表明,循环至4.5V的Li[Ni0.6Co0.2Mn0.2]O2(NCM-622)正极材料的放电容量为200 mAhg-1,100次循环后容量保持率为93%,类似于循环至4.3V的Li[Ni0.8Co0.1Mn0.1]O2(NCM-811)正极材料。在两种正极材料循环充放电100圈后,两者在循环期间类似的体积变化和类似的类NiO岩盐杂质层可能是它们具有相似循环寿命的原因。尽管具有相当的放电容量和容量保持率,但是NCM-622正极材料表现出优异的热稳定性,其放热反应的发生温度相对于NCM-811材料延缓了约50℃。因此,该研究结果建议在电化学性能相同或相似的情况下,应选择具有较高热稳定性的NCM-622正极材料应用于纯电动汽车,以确保更高的安全水平。


原文链接:https://doi.org/10.1039/c8ta10438g
(陈圳杰)