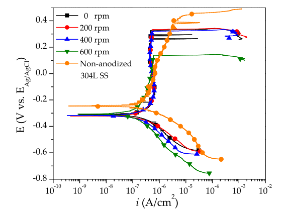
不同的化学和物理处理被用来改善钢的性能。阳极氧化是最有前途的处理方法之一,因为它的多功能性和易于工业实施。它可以生长具有有趣性质的纳米结构氧化膜,能够用于不同的工业部门。研究了阳极氧化时间(15、30、45和60分钟)以及搅拌速度(0、200、400和600转/分)对304L不锈钢阳极氧化层形貌和耐蚀性的影响。为了确定阳极氧化参数对阳极氧化层在0.6mol·L-1NaCl溶液中腐蚀行为的影响,对阳极氧化层进行了形貌、成分和电化学表征。结果表明,在45和60分钟的阳极氧化时间,两个微结构的形成是有利的,这与纳米孔结构在金属氧化物界面处的塌陷有关。但是,搅拌速度和阳极氧化时间对阳极氧化304L SS样品的腐蚀行为的影响可忽略不计,因为它们的电化学值与未阳极氧化的样品相似。


原文链接:http://doi.org/10.3390/ciwc2019-06161
(金建涛)