在过去的几十年里,可充电锂离子电池(LIB)作为突出的电化学储能技术之一蓬勃发展,并在移动电子设备和智能电网等各个领域占据主导地位。与传统的钴基或镍基电极化学相比,有机电极材料正成为大规模电能储存的有前途的可持续替代品,受益于其丰富的地球元素组成、环境友好性和可再生性。
金属有机骨架(MOFs)具有高结构可调性、有序分子排列和多孔结构的特点,在锂离子电池中显示出显著的能量存储潜力。南开大学李福军教授课题组设计了一种由铁(III)和四氨基苯醌(TABQ)组成的新型2D MOF,以提供多个氧化还原中心。借助稳健的Fe–N(O)键和增强的Li–N(O)相互作用开发集成了多个氧化还原中心和稳健框架的MOF。
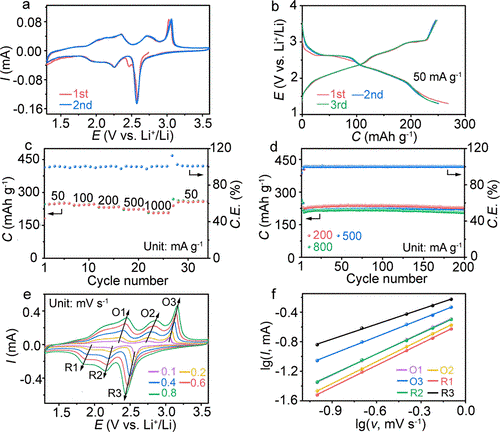
文章使用1.0 M LiTFSI/G4的电解液与Li金属装配半电池评估了Fe-TABQ的电化学性能。基于Fe阳离子和TABQ配体上有利的氧化还原过程,它提供了高达268.8 mAh g-1的高初始比容量和高达 251.1 mAh g–1的放电比容量。同时具有良好的循环性能和优秀的倍率性能。

https://doi.org/10.1021/jacs.2c08273
(刘俊杰)